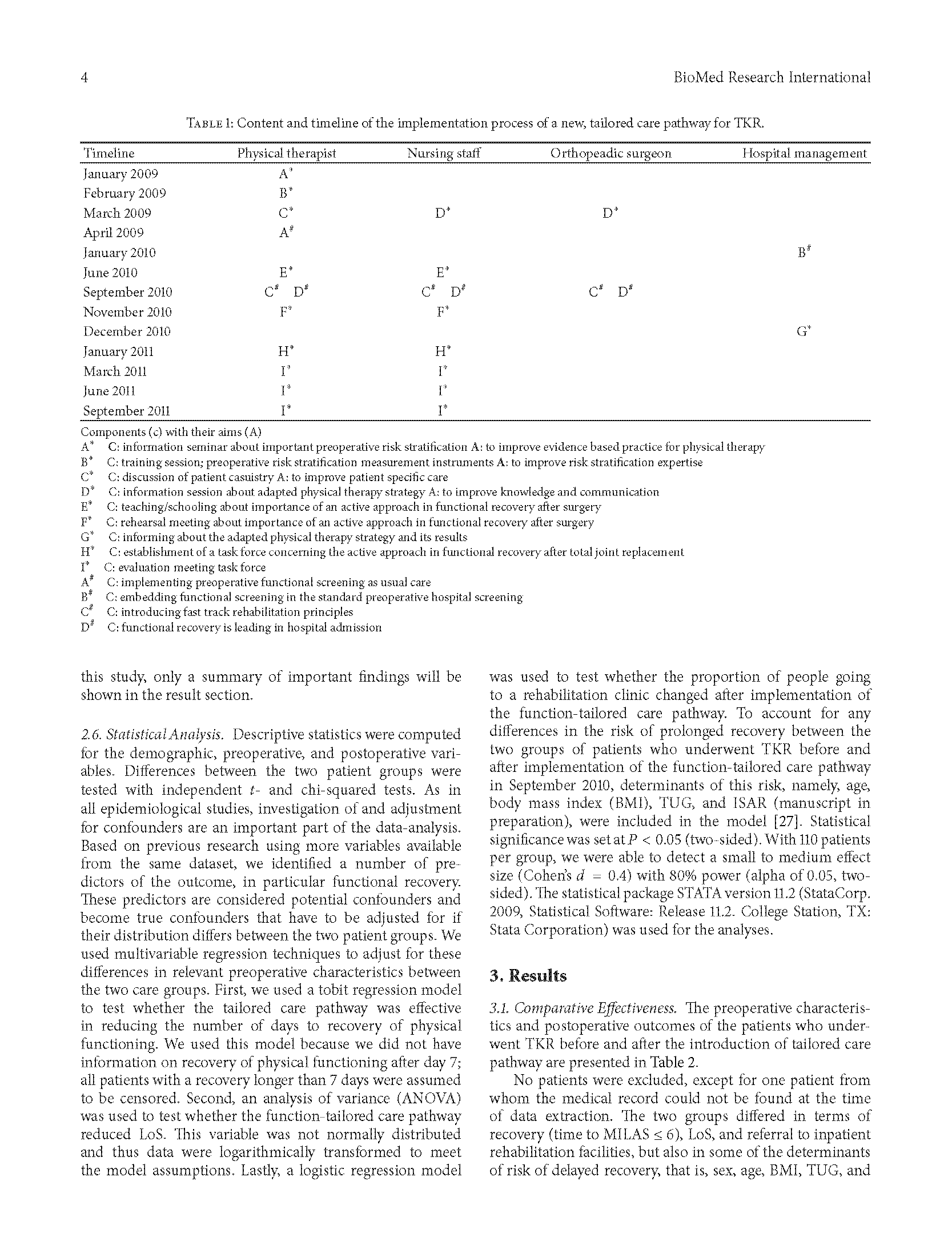
研究
术前康复性训练有助于全膝关节置换术患者的术后功能恢复
2016-12-22
骨科在线orthonline
荷兰的G. van der Sluis等人开展了一项研究,他们对接受全膝关节置换术(TKR)的围手术期患者根据他们的个体情况进行功能锻炼。结果显示术前即开始接受个性化康复训练的患者(n = 127),其术后体能恢复所需的时间和住院的时长均要比术后接受个性化训练的时间短。他们建议在TKR术前就针对患者的个人情况有针对性地开展康复训练。他们在“BioMed Research International Volume 2015”上介绍了研究结果。
原文如下:








