研究
择期髋膝关节置换术能够帮助患者快速康复并降低治疗费用(英国)
2016-12-22
骨科在线orthonline
英国学者I.P. Pengas等人开展了一项前瞻性研究,评估康复治疗对髋、膝关节成形术患者术后快速康复、减少住院时长,以及节省住院费用等方面的情况。接受择期髋(470例)、膝(321例)成形术的患者接受了为期12个月的随访调查。康复治疗的时长为4个月。研究数据显示髋、膝关节手术患者使用拐仗到个人单独行走的时间有统计学差异,其值分别为髋(p=0.0030)、膝 (p= 0.0037)。
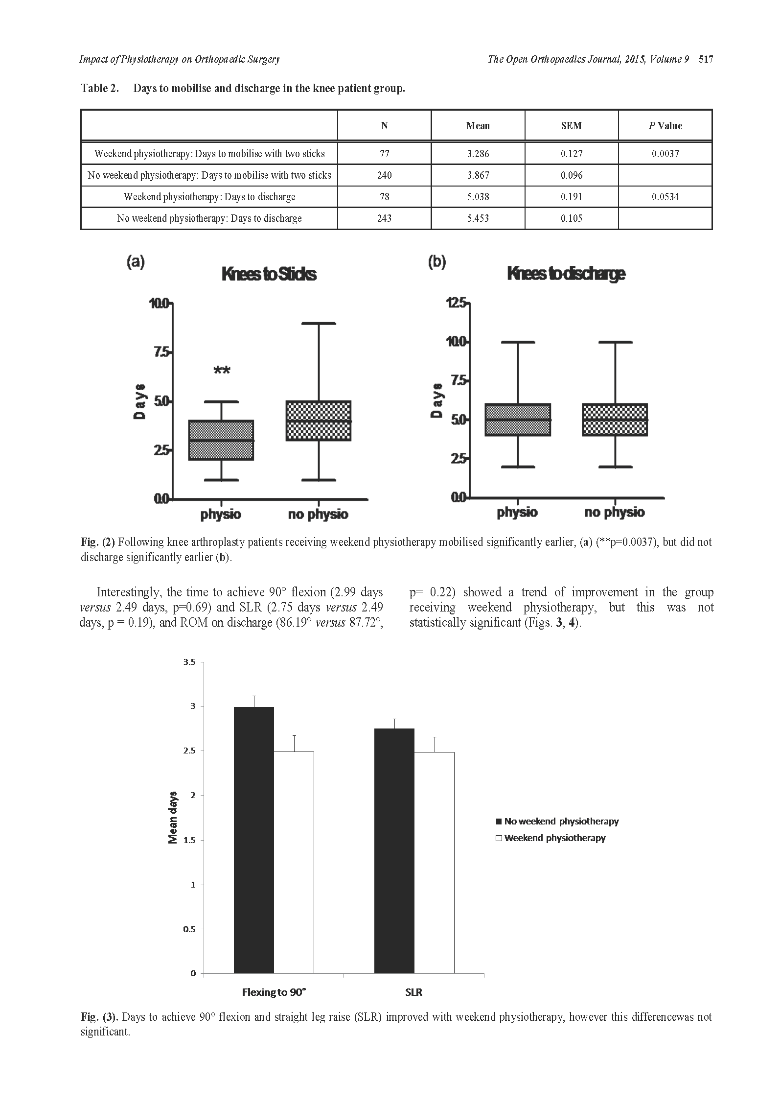
研究证明髋、膝择期成形术的患者接受周末理疗均可达到术后快速康复,减少住院时间的效果。此项研究结果发表在“The Open Orthopaedics Journal, 2015, 9,515-519”上。数据分析显示接受髋关节成形术,术后理疗患者拄拐仗术后下床活动的时间,以及住院的时间分别要比与没有接受理疗患者的时间短, 其值分别为3.11天与3.53天,4.95天与5.22天。接受理疗的膝关节成形术后患者,平均拄拐下床的活动时间显著早于对照组患者,其值分别是3.29天与 3.87天。住院时间也比对照组患者的时间短,其值分别是5.04天与5.45天,但是差异不显著(p= 0.0534)。
原文如下:





